This article explores the feasibility of achieving net negative emissions (which occurs when more greenhouse gases are removed from the atmosphere than are emitted) by 2050 through global food system transformation. Specifically, the authors assessed how various approaches to food system transformation may lead to reductions in greenhouse gas (GHG) emissions and possibly increased carbon dioxide removal.

Summary
These approaches include:
- A shift in consumption patterns towards diets associated with decreased GHG emissions - particularly reduced meat consumptionand the adoption of more plant-based, flexitarian diets.
- The development and implementation of technologies that facilitate better land management and climate-smart agri-food practices - such as agroforestry, production of fertilisers without fossil fuels, and the use of biochar to increase soil carbon and reduce nitrous oxide emissions.
- The closure of crop yield gaps (the difference between actual and theoretical maximum productivity).
- Efforts aimed at reducing food loss and waste throughout the supply chain.
Using the EAT-Lancet global food system model, the impact of these various approaches (alone or in combination) in the face of a projected population of 10 billion was compared to business as usual. This model was applied across the supply chain for both land and sea and accounted for changes in GHG emissions, GHG removal, and land-use.
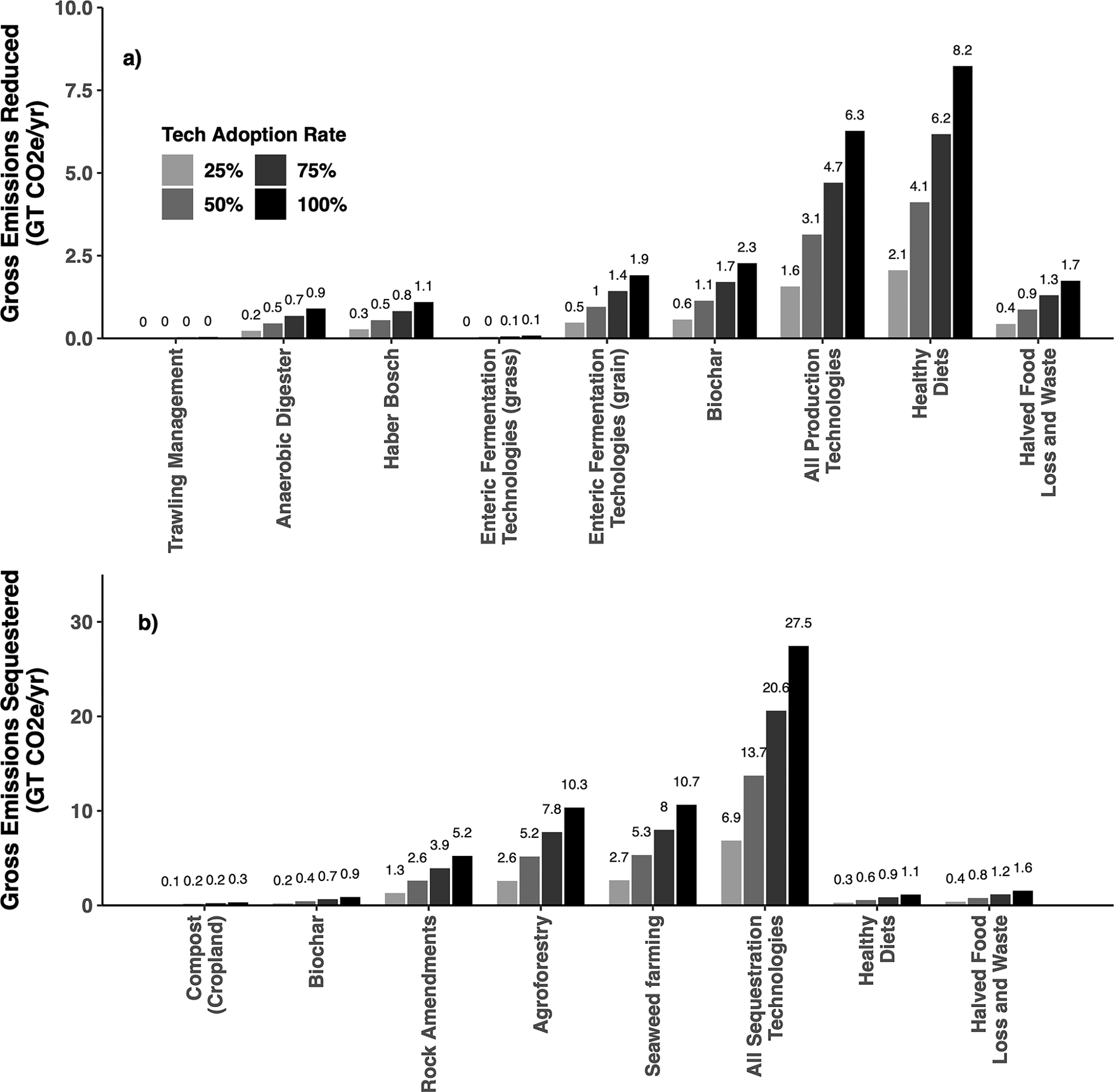
Figure 1 summaries how different interventions would lead to reductions in gross GHG emissions and increases in gross GHG sequestration by 2050. All interventions were modelled under full closure of crop yield gaps and business as usual diets (unless specified, i.e., healthy diets represents uptake of flexitarian diets) across various levels of adoption

Figure 1: 2050 food system technologies targeting gross GHG emissions reductions (top) and gross carbon dioxide removal. (Fig 1, Almaraz et al., 2023).
Figure 2 shows how varying levels of adoption of the technologies listed in figure 1 would impact net negative GHG emissions compared to business as usual (BAU, 0% adoption). The scenarios were compared across 0% (BAU diet), 50% and 100% adoption of flexitarian diets both with and without halving food loss and waste.

Figure 2: Net food sector GHG emissions from technology adoption scenarios (0%, 25%, 50%, 75% and 100% adoption) across global dietary transitions from business as usual (top) to 50% (middle) to 100% flexitarian adoption (bottom) with (right) and without (left) reductions in food loss and waste in 2050. All scenarios assume full closure of yield gaps by 2050. Technological adoption rate is based on the global additive effects of all technologies listed in Fig.1. (Fig 2, Almaraz et al., 2023).
Overall the model used in this study finds that complete (100%) adoption of all the assessed technologies would lead to net negative GHG emissions of at least 13 gigatonnes per year. Furthermore, whilst not leading to full decarbonisation alone, dietary shifts and reductions in food loss and waste, would increase the magnitude of net negative GHG emissions (up to 33 gigatonnes per annum) if combined with complete adoption of these technologies. The greatest benefits of these approaches would be seen in areas of high ruminant production and non-intensive agricultural systems.
Ultimately, this study demonstrates that by embracing the widespread adoption of a range of innovative technologies we can achieve net negative emissions in the food system. This further highlights the key role that food systems transformation can play in climate change mitigation and resilience.
Abstract
Most climate mitigation scenarios point to a combination of GHG emission reductions and CO2 removal for avoiding the most dangerous climate change impacts this century. The global food system is responsible for ~1/3 of GHG emissions and thus plays an important role in reaching emission targets. Consumers, technology innovation, industry, and agricultural practices offer various degrees of opportunity to reduce emissions and remove CO2. However, a question remains as to whether food system transformation can achieve net negative emissions (i.e., where GHG sinks exceed sources sector wide) and what the capacity of the different levers may be. We use a global food system model to explore the influence of consumer choice, climate-smart agro-industrial technologies, and food waste reductions for achieving net negative emissions for the year 2050. We analyze an array of scenarios under the conditions of full yield gap closures and caloric demands in a world with 10 billion people. Our results reveal a high-end capacity of 33 gigatonnes of net negative emissions per annum via complete food system transformation, which assumes full global deployment of behavioral-, management- and technology-based interventions. The most promising technologies for achieving net negative emissions include hydrogen-powered fertilizer production, livestock feeds, organic and inorganic soil amendments, agroforestry, and sustainable seafood harvesting practices. On the consumer side, adopting flexitarian diets cannot achieve full decarbonization of the food system but has the potential to increase the magnitude of net negative emissions when combined with technology scale-up. GHG reductions ascribed to a mixture of technology deployment and dietary shifts emerge for many different countries, with areas of high ruminant production and non-intensive agricultural systems showing the greatest per capita benefits. This analysis highlights potential for future food systems to achieve net negative emissions using multifaceted “cradle-to-grave” and “land-to-sea” emission reduction strategies that embrace emerging climate-smart agro-industrial technologies.
Reference
Almaraz, M., Houlton, B.Z., Clark, M., Holzer, I., Zhou, Y., Rasmussen, L., Moberg, E., Manaigo, E., Halpern, B.S., Scarborough, C. and Lei, X.G., 2023. Model-based scenarios for achieving net negative emissions in the food system. PLOS Climate, 2(9), p.e0000181.
Find the article here and for more information read our explainer on agricultural methane.
Comments (0)